Ні в жодному разі, не можна підстригатися під час 1-ої і останній. чверті, а також у дні повнолуння і молодиків. Що стосується фарбування, то в січні 2017

Краще по темі: гороскоп стрижок на січень 2017

Що стосується здоров’я, то календар місячних фаз на січень 2017 року, рекомендує 5,8,18-23 січ. зайнятися очищенням організму, оскільки ці сприятливі дні

Місячний календар на січень 2017: коли працювати, відпочивати і подорожувати, як краще заводити стосунки і миритися

Ще один день, коли стригтися і робити фарбування не рекомендується. Домашні і салонні процедури теж не принесуть користі. До того ж варто утриматися від

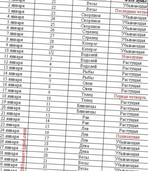
Крім місячних фаз, в день стрижки, слід звернути увагу і на розташування Місяця в зодіакальних знаках, оскільки кожен з них, по різному впливає не

Примітно, що в березні 2017 року, відбудеться одразу два затемнення: на місяць 9.03, можна буде спостерігати близько 4-х хвилин повне сонячне затемнення,

Місячний календар стрижок, розташований трохи нижче, допоможе вам правильно запланувати відвідування перукаря, визначити

Місячний календар стрижок на Лютий 2017 року. Сприятливі дні для стрижки волосся в лютому 2017 Світ космосу

Для фарбування волосся, як і для стрижки, є спеціальний місячний календар на червень 2017 року. На його основі можна вибрати підходящий день для виконання

Варто відзначити, що місячний посівної календар садівника, городника на січень 2017 року, містить найбільш сприятливі і найкращі дні для посіву овочевих