
Ні в жодному разі, не можна підстригатися під час 1-ої і останній. чверті, а також у дні повнолуння і молодиків. Що стосується фарбування, то в січні 2017
Краще по темі: календар стрижок на січень 2017

Що стосується здоров’я, то календар місячних фаз на січень 2017 року, рекомендує 5,8,18-23 січ. зайнятися очищенням організму, оскільки ці сприятливі дні

Місячний календар на січень 2017: коли працювати, відпочивати і подорожувати, як краще заводити стосунки і миритися

Ще один день, коли стригтися і робити фарбування не рекомендується. Домашні і салонні процедури теж не принесуть користі. До того ж варто утриматися від

7 січня (ЧТ) цікавий день: зміна зачіски або навіть всього стилю допоможе впоратися з нудьгою, зарядить енергією і гарним настроєм.

Крім місячних фаз, в день стрижки, слід звернути увагу і на розташування Місяця в зодіакальних знаках, оскільки кожен з них, по різному впливає не

Варто відзначити, що місячний посівної календар садівника, городника на січень 2017 року, містить найбільш сприятливі і найкращі дні для посіву овочевих

Примітно, що в березні 2017 року, відбудеться одразу два затемнення: на місяць 9.03, можна буде спостерігати близько 4-х хвилин повне сонячне затемнення,

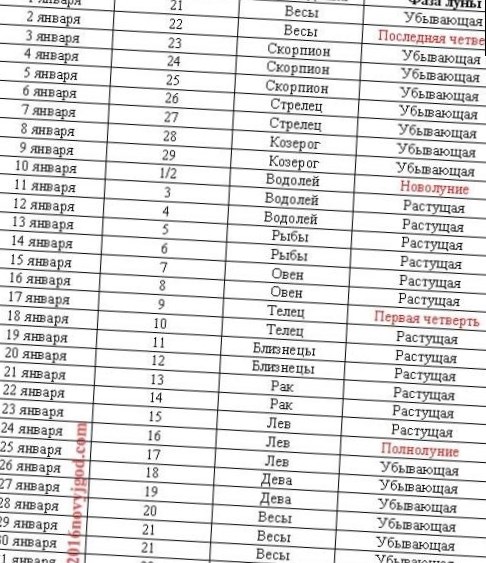
Місячний календар стрижок, розташований трохи нижче, допоможе вам правильно запланувати відвідування перукаря, визначити

Місячний календар стрижок на Лютий 2017 року. Сприятливі дні для стрижки волосся в лютому 2017 Світ космосу

Для фарбування волосся, як і для стрижки, є спеціальний місячний календар на червень 2017 року. На його основі можна вибрати підходящий день для виконання


