
Ні в жодному разі, не можна підстригатися під час 1-ої і останній. чверті, а також у дні повнолуння і молодиків. Що стосується фарбування, то в січні 2017
Краще по темі: місячний календар стрижки на січень 2017

Що стосується здоров’я, то календар місячних фаз на січень 2017 року, рекомендує 5,8,18-23 січ. зайнятися очищенням організму, оскільки ці сприятливі дні

Місячний календар на січень 2017: коли працювати, відпочивати і подорожувати, як краще заводити стосунки і миритися

Крім місячних фаз, в день стрижки, слід звернути увагу і на розташування Місяця в зодіакальних знаках, оскільки кожен з них, по різному впливає не

Примітно, що в березні 2017 року, відбудеться одразу два затемнення: на місяць 9.03, можна буде спостерігати близько 4-х хвилин повне сонячне затемнення,

Варто відзначити, що місячний посівної календар садівника, городника на січень 2017 року, містить найбільш сприятливі і найкращі дні для посіву овочевих

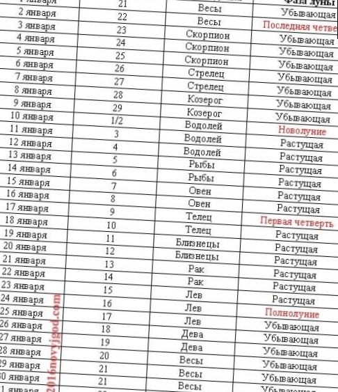
Місячний календар стрижок, розташований трохи нижче, допоможе вам правильно запланувати відвідування перукаря, визначити

Зміна місячної фази: невдалий день для складних процедур для волосся, особливо в першій половині дня. Стрижки сьогодні не заборонені, проте це не самий кращий

З 4 січня Марс рухається по знаку Скорпіона. Марс у медичній астрології традиційно пов’язаний з гострими запальними процесами, а також з жовчним

Місячним календарем стрижок користувалися ще в давнину, коли в результаті тривалих спостережень виявили вплив тієї або іншої фази Місяця на ріст і здоров’я

Схожа ситуація очікується в червні, але, на відміну від травня, перша половина місяця викличе у рибалок розчарування. Липень повторить за числами травень,

Місячний календар стрижок на Лютий 2017 року. Сприятливі дні для стрижки волосся в лютому 2017 Світ космосу

7 січня (ЧТ) цікавий день: зміна зачіски або навіть всього стилю допоможе впоратися з нудьгою, зарядить енергією і гарним настроєм.


