
Крім місячних фаз, в день стрижки, слід звернути увагу і на розташування Місяця в зодіакальних знаках, оскільки кожен з них, по різному впливає не
Краще по темі: місячний календар стрижок на лютий 2017

На підвіконнях у теплих умовах допускається висаджувати розсаду зелених рослин. Якщо в теплиці є всі можливості для раннього посіву,

Примітно, що в березні 2017 року, відбудеться одразу два затемнення: на місяць 9.03, можна буде спостерігати близько 4-х хвилин повне сонячне затемнення,

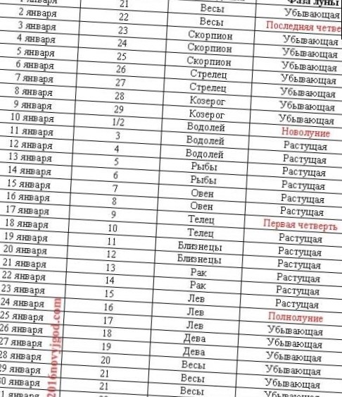
Що стосується здоров’я, то календар місячних фаз на січень 2017 року, рекомендує 5,8,18-23 січ. зайнятися очищенням організму, оскільки ці сприятливі дні

Ні в жодному разі, не можна підстригатися під час 1-ої і останній. чверті, а також у дні повнолуння і молодиків. Що стосується фарбування, то в січні 2017

З 10 числа на небозводі набирає правління стадія зростаючої місяця. А місячний календар стрижки волосся у березні 2017 визначає цю стадію сприятливою і

Місячний календар стрижок на Лютий 2017 року. Сприятливі дні для стрижки волосся в лютому 2017 Світ космосу

Для того щоб уберегти стовбури дерев від опіків і розтріскування в дні відлиги їх починають білити. Проведена наприкінці квітня, вона не захищає дерево

Місячний календар стрижок на лютий 2017 року, безумовно, може стати відмінним підмогою при виборі дня для походу в салон.

Не рекомендується за місячним календарем проводити будь-які роботи з рослинами. Підготовка ґрунтових грунтів і контейнерів для розсади.

8 лютого, Місяць у Водолії, МОЛОДИК — стрижку в цей день краще не робити. У фарбуванні намагайтеся використовувати природні барвники, щоб зміцнити

При складанні цього календаря ми враховували характеристики кожного місячного дня і фази Місяця. Він дозволяє не тільки вибрати сприятливий день для стрижки,

У цьому вам допоможе місячний календар стрижки волосся. Місячний календар стрижок на лютий 2017 року місячний календар. Місячний календар стрижки, зачіски допоможе

Слід зазначити, що нижче представлений посівної місячний календар садівника-городника на лютий 2017 року, враховує всі перераховані вище поради і


