
Крім місячних фаз, в день стрижки, слід звернути увагу і на розташування Місяця в зодіакальних знаках, оскільки кожен з них, по різному впливає не
Краще по темі: сприятливі дні для стрижки в лютому 2017

Що стосується завивки, то краще всього, вона виходить у дні Діви, при будь-якій фазі, а ось небажано завивати волосся в знаках Риб, Скорпіона, Водолія і Раку.

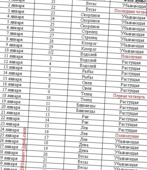
Що стосується здоров’я, то календар місячних фаз на січень 2017 року, рекомендує 5,8,18-23 січ. зайнятися очищенням організму, оскільки ці сприятливі дні

Примітно, що в березні 2017 року, відбудеться одразу два затемнення: на місяць 9.03, можна буде спостерігати близько 4-х хвилин повне сонячне затемнення,

А місячний календар стрижки волосся у березні 2017 визначає цю стадію сприятливою і позитивною. Прикмета стародавніх людей свідчить, що локони бажано

Місячний календар стрижок на Лютий 2017 року. Сприятливі дні для стрижки волосся в лютому 2017 Світ космосу

Якщо заглянути в календар, де розраховано вдалий час для походу до фахівця в обрізанні волосся в лютому 2017 року, можна побачити, що на вдалий результат

2 (з 18:51), 3, 4, 5 (до 03:45) лютого Щербатий Місяць у Стрільці (Дні Плоду). 29 лютого можна рихлити ґрунт і продовжувати боротьбу з комахами.

Які дні для вінчання в 2017 році будуть сприятливі, а які ні, ми розібралися, а тепер з’ясуємо, що з собою потрібно брати на вінчання: Кагор,

З 4 січня Марс рухається по знаку Скорпіона. Марс у медичній астрології традиційно пов’язаний з гострими запальними процесами, а також з жовчним

Не рекомендується за місячним календарем проводити будь-які роботи з рослинами. Підготовка ґрунтових грунтів і контейнерів для розсади.

Для того щоб уберегти стовбури дерев від опіків і розтріскування в дні відлиги їх починають білити. Проведена наприкінці квітня, вона не захищає дерево

у березні 2017 року, найбільш несприятливим періодом для посадки і посіву всіх овочевих культур буде 6-9 березня. У свою чергу, найсприятливіші дні для

Місяць впливає на всі живі істоти Землі. Наведу декілька яскравих прикладів, які стосуються особисто нас, жінок. Менструальний цикл жінки складається

Марс весь лютий знаходиться у своєму нічному небесному домі знаку Скорпіона. Тут він сильний і сприяє лікування сексуальних розладів,

21 лютого 2017 — 00:42 Коли стригти волосся в березні 2017 року за місячним календарем: сприятливі дні

несприятливі дні ! проведення процедур тільки під наглядом фахівця Порожня клітка нейтральні дні, можна проводити процедури на своє

Найбільш несприятливі дні, що припадають на березень 2017 р. будуть наступними: 5-е,13-е,20-е і 27-е число, причому особливо несприятливим днем у всіх

Прийшов час оновити стрижку або зробити нову зачіску? Прийміть до уваги сприятливі дні у лютому за місячним календарем стрижок 2017, щоб отримати


